4 minutes de lecture
Impact de la post-dilatation sur la durabilité des bioprothèses aortiques percutanées
En direct du TCT 2025 à San Francisco
Publié le mercredi 5 novembre 2025
D'après la présentation d’Antonin Trimaille (Québec, Canada) : « Impact of Balloon Postdilation on Long-Term Bioprosthesis Durability After TAVR»
Publication simultanée : Trimaille A, Cepas-Guillen P, Del Portillo JH, Giuliani C, Paradis JM, Dumont E, et al. Impact of Balloon Postdilation on Long-Term Bioprosthesis Durability After TAVR. Circ Cardiovasc Interv 2025;e015577.
Messages clés
- La post-dilatation est une étape optionnelle au cours d’un TAVI dont l’effet sur la durabilité de la bioprothèse à long-terme est incertain
- Il s’agit d’une étude observationnelle ayant réalisé un appariement sur score de propension de patients avec post-dilatation et patients sans post-dilatation
- L’incidence des dysfonctions modérées ou sévères de la bioprothèse, et celle des défaillances valvulaires ont été significativement plus faibles chez les patients avec post-dilatation au terme d’un suivi allant jusqu’à 10 ans après TAVI
- Les patients avec post-dilatation ont eu un meilleur profil hémodynamique au long cours que ceux sans post-dilatation
- De futures études prospectives sont nécessaires pour confirmer ces résultats favorables à la post-dilatation et préciser ses indications.
Introduction
La post-dilatation est une étape optionnelle au cours d’un remplacement valvulaire aortique percutané (TAVI), utilisée dans environ 15% des cas, principalement pour réduire une fuite paravalvulaire résiduelle et optimiser l’expansion de la bioprothèse après son déploiement.
Cependant, l’impact de la post-dilatation sur la durabilité à long-terme de la bioprothèse reste débattu. D’une part, de précédentes études ont montré que la post-dilatation pouvait être associée à des lésions microscopiques du tissu valvulaire(1) et qu’une expansion trop importante de la bioprothèse était associée à des dysfonctions valvulaires à court et à long-terme(2).
D’autre part, la sous-expansion de la bioprothèse a été associée à un risque plus élevé d’événements cliniques et d’une mauvaise durabilité à long-terme(3).
De plus, une déformation asymétrique de la bioprothèse, qui peut être corrigée par la post-dilatation, a été associée à un risque plus élevée de thrombose valvulaire(4).
Ainsi, l’objectif de cette étude était d’évaluer l’impact à long-terme de la post-dilatation sur la durabilité des bioprothèses aortiques percutanées.
Méthodologie et résultats
Il s’agit d’une étude observationnelle basée sur l’analyse d’un registre prospectif réalisé à l’Institut de Cardiologie et Pneumologie de Québec au Canada. Parmi 1911 patients consécutifs ayant bénéficié d’un TAVI, un appariement sur score de propension a été réalisé, permettant d’obtenir 215 patients avec post-dilatation et 761 patients sans post-dilatation. Les patients décédés au cours de la première année après le TAVI et ceux avec une procédure valve-in-valve ont été exclus. Le critère de jugement principal était le taux de dysfonction hémodynamique modérée ou sévère de la valve selon VARC-3(5).
Parmi les 976 patients formant la population appariée, l’âge moyen était de 79 ans, 43% étaient des femmes et le score STS médian était de 4.4%. Les caractéristiques de base étaient très similaires entre les deux groupes après appariement, à l’exception du score calcique valvulaire et du taux d’implantation de pacemaker après TAVI qui étaient plus élevés dans le groupe post-dilatation.
Après un suivi allant jusqu’à 10 ans, l’incidence du critère de jugement principal (dysfonction hémodynamique modérée ou sévère) a été plus faible dans le groupe post-dilatation que dans le groupe pas de post-dilatation (2.8% vs. 5.8% respectivement, HR 0.37 (95%CI 0.15-0.95)) (Figure 1).
Le taux de défaillance de la bioprothèse a également été plus faible dans le groupe post-dilatation (2.8% vs. 5.1%, HR 0.39 (95%CI 0.15-0.98)). Aucune différence n’a été notée sur l’incidence de dysfonction hémodynamique sévère ou de ré-intervention sur la valve aortique.
Figure 1 : résultats sur le critère de jugement principal
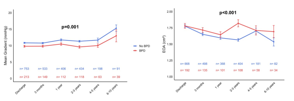
Les patients avec post-dilatation avaient un profil hémodynamique plus favorable au cours du temps que ceux sans post-dilatation, avec un gradient moyen transaortique plus bas, et une surface aortique plus élevée (Figure 2).
Figure 2 : évolution des paramètres hémodynamiques au cours du temps
Dans des analyses de sous-groupes, l’effet favorable de la post-dilatation a été plus marqué chez les patients avec valve expansible par ballonnet que chez ceux avec valve auto-expandable. Aucune différence n’a été observée selon le score calcique ou la présence d’un petit anneau aortique.
Finalement, la post-dilatation n’a pas eu d’effet significatif sur les événements cliniques à long-terme, sans différence sur l’incidence de la mortalité toute cause, la mortalité cardiovasculaire, les AVC et les saignements majeurs.
Références
1. Amahzoune B, Bruneval P, Allam B, Lafont A, Fabiani JN, Zegdi R. Traumatic leaflet injury during the use of percutaneous valves: a comparative study of balloon- and self-expandable valved stents. Eur J Cardiothorac Surg 2013;43:488–93.
2. Sathananthan J, Sellers S, Barlow A, Fraser R, Stanová V, Cheung A, et al. Overexpansion of the SAPIEN 3 Transcatheter Heart Valve: An Ex Vivo Bench Study. JACC Cardiovasc Interv 2018;11:1696–705.
3. Kim WK, de Backer O, Renker M, Charitos EI, Frawley C, Kobari Y, et al. Clinical Impact of Midframe Underexpansion Following TAVR Using a Self-Expanding Transcatheter Heart Valve. JACC Cardiovasc Interv 2025;18:1028–41.
4. Fukui M, Bapat VN, Garcia S, Dworak MW, Hashimoto G, Sato H, et al. Deformation of Transcatheter Aortic Valve Prostheses: Implications for Hypoattenuating Leaflet Thickening and Clinical Outcomes. Circulation 2022;146:480–93.
5. VARC-3 WRITING COMMITTEE:, Généreux P, Piazza N, Alu MC, Nazif T, Hahn RT, et al. Valve Academic Research Consortium 3: Updated Endpoint Definitions for Aortic Valve Clinical Research. J Am Coll Cardiol 2021;77:2717–46.
Conclusion
Dans cette étude, la post-dilatation a été associé à une diminution de la dysfonction hémodynamique modérée ou sévère de la valve et de la défaillance valvulaire à long-terme (jusqu’à 10 ans après TAVI), ainsi qu’à un meilleur profil hémodynamique au cours du temps. Aucun effet n’a été observé sur les événements cliniques à long-terme.
Pour aller plus loin
Ces données suggèrent le potentiel bénéfice à long-terme de la post-dilatation en matière de durabilité de la bioprothèse après TAVI, et son innocuité sur les événements cliniques. Elles viennent renforcer l’importance d’une bonne expansion de la bioprothèse pour optimiser son profil hémodynamique. Certaines limites sont à souligner, en particulier le design observationnel qui ne permet pas de tirer des conclusions définitives sur cette association, l’absence d’analyse centralisée et indépendante des données échocardiographiques, et l’absence d’investigation systématique par scanner ou ETO des mécanismes de dysfonction valvulaire. De futures études prospectives sont nécessaires pour confirmer ces données favorables à la post-dilatation.




